据深圳平湖实验室官微消息,近期,深圳平湖实验室与西安理工大学功率半导体器件及装备创新团队联合研究的最新成果在国际权威期刊 IEEE Electron Device Letters(EDL)上发表,论文题为 “Pulsed Characterization of 1.2 kV SiC Optically Controlled Transistor With Reverse Conducting Performance”。该工作提出并制备了一种具备反向导电特性的新型4H-SiC光控晶体管(RC-OCT),实现了SiC光控器件在脉冲功率领域的创新性突破。
据悉,该研究创新性地将SiC光控晶体管(OCT)与PiN二极管结构单片集成,构建出可实现正向阻断与反向导通的复合结构,并成功制备原型器件,有效改善了关断特性并提升了脉冲响应速度,为高功率脉冲应用提供了新方案。

图2 器件结构示意图

图3 器件SEM图像(a) 横截面形貌(b) 顶视图

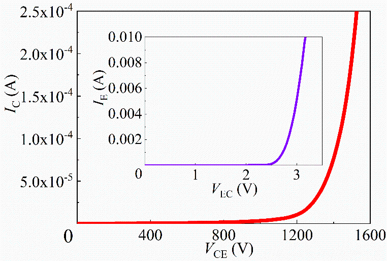
图4 正向击穿与反向导通特性

图5 器件在不同紫外激光能量下的脉冲电流波形
实验结果显示,所制备的SiC RC-OCT原型器件具有优异的静态特性及高速脉冲导通能力:正向阻断电压达1200 V、反向导通电压仅2.8 V;在355 nm紫外激光触发(能量10 μJ)下,器件实现峰值电流4.61 A、峰值电流密度307.3 A/cm²、电流上升速率1.0 kA/μs,对应电流密度上升速率达66.7 kA/(cm²·μs)。
该研究为SiC光控晶体管在脉冲功率开关器件中的应用提供了实验基础与设计思路,对推动SiC光控器件向更高电压、更高功率、更快速度方向发展具有重要意义。